Enhance Hearable PSAP Audio Performance, Power Efficiency with Antinoise
What you’ll learn:
- What are PSAPs?
- Understand the root cause of comb effect.
- Basic building blocks of a PSAP system.
- How an antinoise solution mitigates the comb effect.
Hearable devices are designed to improve a user’s listening experience by reducing ambient noise. This is done via passive and active noise cancellation (ANC) and by amplifying the desired ambient sound. Hearables that support amplification of desired ambient sound are commonly referred to as personal sound amplification products (PSAPs).
In this article, without loss of generality, a PSAP is considered an assisted listening feature in hearables. Used to enhance hearing in challenging environments, a PSAP is meant for individuals with and without hearing impairments. Basic building blocks of a PSAP system may include, but are not limited to:
- One or a few external microphones to capture the ambient sound.
- One or a few internal microphones to capture residual sound inside the ear canal.
- A headphone speaker to playback augmented sound.
- Digital-signal-processing (DSP) blocks, such as beamforming, feedback suppression, ambient/wind/impulse/mic noise suppression, gain amplification, equalization, dynamic range compression, limiters, etc.
A simplified view of the typical audio system for PSAPs (Fig. 1) shows where the analog microphone signal is converted to digital, decimated in the audio codec, and transmitted to the Bluetooth system-on-chip (SoC) or DSP core through a buffer. It’s then processed in the DSP blocks, transmitted back to the codec through a buffer, and interpolated before converting to analog for the amplifier to drive the speaker output.
When a PSAP is enabled, two types of sound reach a user’s eardrum (Fig. 2). Sound S1 is the residual ambient sound (and/or user’s own voice). This is a result of the hearable device occluding the ear opening, blocking the sound from reaching the inside of the ear canal and escaping outside of the ear canal.
Sound S2 is the PSAP output of the ambient sound captured by the microphone and processed by PSAP DSP blocks. It’s finally generated by the speaker, where an inherent delay caused by the audio system may be involved, depending on the audio-processing-chain design. These two sounds sum at the user’s eardrum (i.e., acoustic wave superposition) to create a complete sensation of PSAP experience.
Problem of Comb Effect
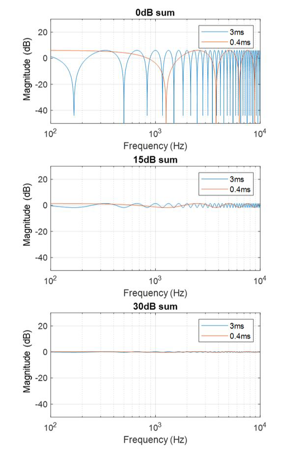
Figure 3, which represents a simplified signal model, helps illustrate the consequence of the summing effect of two sounds in the presence of a relative delay and gain amplification. Based on this model, Maxim performed a study to understand how delay and gain affects sound output. Two values of delay were used at 3 ms and 0.4 ms, with gains at 0, 15, and 30 dB.
Figure 4 illustrates the normalized frequency response of the sum of two sounds, where both delay and gain significantly affect the output. With a 0-dB gain, clear distortion in the form of multiple notches can be observed.
This distortion, known as the comb effect, may degrade the sound quality and create an echoic or reverberation effect. A longer delay (e.g., 3 ms) creates more notches, including notches at a much lower frequency than a shorter delay (e.g., 0.4 ms). With increased gain, the comb effect is greatly alleviated and forms a ripple of 2 to 3 dB at a 15-dB gain or an almost flat response at a 30-dB gain, indicating minimal difference in the two delays.
Maxim examined the comb effect of a conventional PSAP solution in typical hearable use cases. As depicted in Figure 5, sound S1 is usually the result of the passive attenuation that shows attenuation (e.g., 15 dB) at only high frequencies. Sound S2 is the PSAP output. Two cases of PSAP are shown with 0- and 15-dB gain, respectively.
The simulation results of the comb effect are represented in Figure 6, indicating that long latency (e.g., 3 ms) can incur the comb effect when the gain is low (e.g., 0 dB), resulting in audio distortion and an inferior listening experience.
Mitigating the Comb Effect Using Antinoise
The comb effect in a PSAP can be mitigated in two ways: reduce delay and/or increase the gain difference between the two summing sounds, as implied in the above study. Reducing delay in audio systems (Fig. 1, again) typically requires the use of a very high sampling rate and small buffers in audio conversion (analog-to-digital and digital-to-analog), audio data transmission between codec and SoC/DSP cores, and DSP blocks. Such requirements incur a higher computation load, poor power efficiency, and degraded audio performance, or limited system design and tuning flexibility.
To overcome these issues, Maxim proposed an antinoise-based solution that allows a PSAP system to manage gain levels between two sounds—in particular, reducing the level of S1 in low frequency. The MAX98050 is a low-power, high-performance audio codec that’s designed for continuously active hearables, enabling differentiating features like noise cancellation and voice/ambient enhancement.
The company’s antinoise solution for PSAPs is enabled by the integrated low-power, low-latency digital filter chain configured to generate antinoise. This is done concurrently with sending the microphone record and playback audio data to the host processor (e.g., Bluetooth SoC) at typical audio sampling rates and buffer schemes for flexible and optimal PSAP algorithm design and tuning.
As shown in Figure 7, the MAX98050 generates antinoise C1 that interacts with the original passive ambient sound to form a new sound S1 with a reduced level at low frequencies. Figure 8 illustrates a simplified block diagram of this solution based on the simulated comb-effect results of a 15-dB reduction in low frequencies.
Maxim’s antinoise solution creates more gain difference between S1 and S2, leading to similar performance between long and short delays in both PSAP gain cases (Fig. 9). In addition to the simulation, measurements based on real form factor and a real-time evaluation system have been validated for the proposed antinoise solution.
Summary
This article explains the comb-effect issue that plagues PSAP systems for hearables. The consequences of long delays for PSAP processing are studied in the presence of different gain levels. Reducing delays in PSAP systems leads to poor performance and higher power. Built upon the low-power, continuously active codec MAX98050, Maxim introduces an antinoise-based solution to mitigate the comb effect in PSAPs, improving audio and power performance and creating a flexible system design for next-generation hearables.
References
Bluetooth is a registered trademark of Bluetooth SIG Inc.
Video: Introduction to the MAX98050 Low-Power, High-Performance Audio CODEC









