From Nanogenerators to WPT: More Tantalizing High-Density Apps
What you’ll learn:
- How nanogenerators are used to harvest power.
- How inductive power-transfer systems deliver high power density.
What unique applications targeting consumers and the industry at large are leveraging highly efficient power-density designs? Read on.
Harvesting Energy with Enhanced Power-Density Nanogenerators
Believe it or not, runners will soon be able to harvest energy via wearable technology, thanks to nanotechnology developed by the University of Surrey Advanced Technology Institute (ATI) in the UK.1,8
When venturing out in the early morning for your daily run, you will soon be able to harvest plenty of energy for your wearable devices because of nanotechnology. Highly energy-efficient and uniquely flexible nanogenerators will be able to drive a 140X increase in power density when compared to conventional nanogenerators.
ATI researchers are betting on this development, which could lead the way for nano-devices that will be at least as efficient as most modern solar cells.
The ATI is working on new device technology that will be able to convert small amounts of mechanical energy, such as motion, into a substantially greater amount of electrical power, similar to the way an amplifier can boost sound in an electronic system. For example, a traditional nanogenerator typically produces 10 mW of power. This latest technology would be able to boost that output to more than 1,000 mW. Such a power increase will be much more suitable for energy harvesting in numerous everyday applications.
High-Power-Density Coupling Mechanism with Zero Air Gap
Wireless-power-transfer designs, which are very closely coupled, can offer highly energy-efficient transfer by employing compact receiver and transmitter coils in close proximity. This design method uses a transformer-type design that significantly increases both power density and system efficiency, leading to a reduction in overall wireless-power-transfer system losses.5
Such inductive-power-transfer (IPT) systems help ensure that an efficient, cost-effective, and lightweight system can be achieved. The necessary coupling between the primary and secondary coils uses the smallest amount of ferrite. What has been shown is that there’s a maximum 10% difference between a finite element model of these systems and the measured results.
>>Download the PDF of this article, and check out the Library Series for similar articles and videos
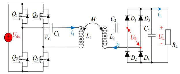
Next, we’ll analyze the power density of a wireless energy-transmission system based on a series-series (SS)-type of topology (Fig. 1),5 where:
- Udc is the DC input
- Q1-Q4 is a full-bridge inverter
- D1-D4 is a full-bridge rectifier
- C1 is the primary resonant capacitance
- C2 is the secondary resonant capacitance
Figure 2 shows a simplified circuit.
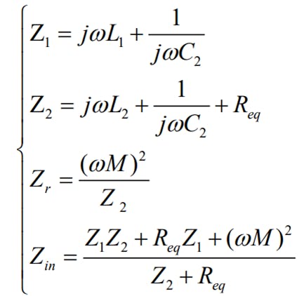
Below are the system parameter relationships:
Z1 is the primary side impedance, Z2 is the second side impedance of the system, Zr is the reflected impedance of the secondary side to the primary side, Zin is the input impedance of the system, and Req is the equivalent load of the system.
How IPT Systems Deliver High Power Density
Electric vehicles, deep-sea intelligent equipment, and consumer electronics are some of the applications that take advantage of inductive-power-transfer systems. One example of a novel IPT system has a full range soft-switching action along with a magnetic integrated structure based on the dual-decoupling concept.
The dual-decoupling concept design often integrates a resonant inductor, within the auxiliary circuit and compensation network and into the transmitter coil, sharing a set of magnetic cores.
IPT systems with multiple resonant inductors will:
- Reduce the system’s volume.
- Improve the magnetic core utilization within the system.
- Increase the system’s power density.
- Balance the magnetic-core losses of different magnetic-core components.
Magnetic integration technology between power transmission coils and resonant inductors is required in this case.
Designers are now able to align the center lines of two bipolar pad coils to achieve magnetic integration between the compensation inductor and the receiver coil. However, the solutions mentioned earlier will have the following limitations:
- The magnetic flux of the integrated inductor coil will diverge into the space. This will enhance the stray magnetic flux.
- Since the integrated inductor is parallel to the current direction in the power transmission coil, stacking the coils may enhance the proximity effect between the high-frequency currents.
Designers must guarantee that the IPT system will be able to implement soft-switching within the entire power range, dramatically increasing the system power density in conjunction with balancing the magnetic flux density.
A proposed IPT system model (Fig. 3) addresses the challenges with a full-range soft-switching operation and magnetic integration, based on a dual-decoupling idea, for power-density optimization and efficiency.
Figure 4 shows the proposed magnetic integration coupler structure. Both the transmitter coil and receiver coil are designed as a square structure. They’re equipped with ferrite magnetic cores that can reduce magnetic resistance and improve coupling coefficient.
The relevant parameters and their meanings are listed in Figure 5.
To provide the magnetic flux of the integrated inductor coil with a low magnetic resistance path, significantly reducing the magnetic potential applied to the integrated inductor coil, designers decided to cover the entire coil with ferrite magnetic cores. Both integrated resonant inductor coils have adopted the solenoid structure.
The two resonant inductors are able to achieve decoupling with the transmitter coil. The auxiliary resonant inductor and the compensation resonant inductor are also in a relatively decoupled state. Therefore, only the coupling between the main coils (LP and LS) will need to be considered. Moreover, the additional active auxiliary network doesn’t affect the power transmission of the main coils and may now be separately considered, thus simplifying the complexity of this design.
Future research will focus on optimizing the magnetic integrated structure, which will be able to further improve the power density and migration adaptability of the system.
References
1. “Flexible nanogenerator with enhanced power density could one day rival the power of solar panels,” University of Surrey, August 22, 2024.
2. “Low-frequency human motion energy scavenging with wearable tumbler-inspired electromagnetic energy harvesters,” Xiagui Pan, Guojian Zhang, Ning Yu, Changqi Cai, Hongye Ma, Bo Yan, International Journal of Mechanical Sciences, Volume 268, 15 April 2024.
3. “High power density energy harvesting and human motion monitoring with [trimethylchloromethyl ammonium][CdCl3]/ polymer composite,” Matter, CellPress, Yong-Ji Gong, Zhi-Gang Li, Haisheng Chen, Min He, Xian-He Bu, Jie Yu, June 7, 2023, Elsevier Inc.
4. “An Energy-efficient Si-integrated Micro-cooler for High Power and Power-density Computing Applications,” Yu-Jen Lien, Cheng-Chieh Hsieh, Terry Ku, Li Wang, Po-Ju Chen, Kuo-Chung Yee, C. H. Douglas Yu, Taiwan Semiconductor, 2024 IEEE 74th Electronic Components and Technology Conference (ECTC).
5. “A Design Method for High Power Density Coupling Mechanism with Zero Air Gap,” Jing Xiao, Shaonan Chen, Yuhong Mo, Xiaorui Wu, Southern Power Grid Corporation Wireless Power Transmission Joint Laboratory; Jiatong Li, College of Automation, 2024 10th International Conference on Power Electronics Systems and Applications (PESA), IEEE 2024.
6. “Unique Applications that Demand High Power Density,” Steve Taranovich, Electronic Design, May 26, 2021.
7. “Apply Power-Density Fundamentals to Enhance Power-Management Systems,” Steve Taranovich, Electronic Design, April 11, 2024.
8. “New nano-device could mean your run could power your electrical wearables,” University of Surrey, August 21, 2024.
9. “A Novel IPT System With Full-Range Soft-Switching Operation and Magnetic Integration Based on Dual-Decoupling Concept for Efficiency and Power Density Optimization,” Youzheng Wang, Student Member, IEEE, Hongchen Liu, Senior Member, IEEE, Huiying Yu, Shuyu Wang, Shuo Wang, Qiang Wang, Fengjiang Wu, Senior Member, IEEE, and Patrick Wheeler, Fellow, IEEE, IEEE Transactions on Circuits and Systems—I: Regular Papers, April 8, 2024.









